大模型采样策略

在调用大模型的时候,你可以会看到过temperature,top-k甚至是top-p,min-p这些参数,它们的含义是什么呢?

这些其实都涉及到了大模型的采样(Sampling)策略,这些内容可以影响模型的输出,甚至是输出风格,比如模型输出更具创造力还是,更加更倾向准确确定的方向。我们最多的应该是使用了Temperature来控制,我们知道大一点(比如1)可以输出更加创造性的内容,小一点(比如0.1)的可以输出更加准确的内容。这些其实都跟一个叫做Softmax有关

Temperature

在Transformer的Encoder环节,简化流程大概是这样:

  1. 输入我是Leo
  2. 经过分词、向量、变换和计算,最终得到logit,如:[4.8, 3.0, 2.9] ,此时还没经过归一化
  3. 我们计算softmax,softmax([4.8, 3.0, 2.9])=~ [0.65, 0.13, 0.11](可以简单理解成做归一化+重点放大,就让概率变成0-1之间的数值,同时放大差异,也就是重要的概率更大点,不重要的概率更小点)

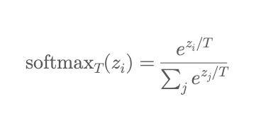
temperature为什么能影响到结果呢,因为softmax的公式是:

其中T就是temperature,T的大小是可以控制sofmax的分布是否尖锐的。基本上看到这个解释直接晕倒,我们看这张图:

可以看到4种不同的T下表现差异不同,其中:

  • 横轴表示不同候选词
  • 纵轴表示这个词的概率(简化的说法)

可以看到T越大,结果之间的的差异小了,表现为所有候选词的概率分布被拉平了,大家彼此更加接近,这种情况下模型更难分别出哪个词是合适的。

而T变小后,差异会明显凸显,高概率的词会显得概率更大,有区分度

实际例子看一下:

可以看到候选词的概率分布差异。所以我们用Temperature来改变模型输出风格就是这个原理。

Top-K

接下去是TOP K,这个就很好理解,在产生的多个候选词中,只筛选出概率最高的那K个,比如这里的:

最终只筛选了前3个。这种策略有个问题,就是适应性差,本质上就是完全不在乎候选词的情况,硬性选择前K个,比如K=10,在某些情况下可能太大(包含很多无关紧要的候选词进来),在另一个情况下可能有太小(把一些好的候选词都去掉了)

因此我们会有一些进一步的策略来解决这些问题

Top-P

Top-P也叫Nucleus Sampling 核采样,原理是保留累积概率超过P的候选词,比如:

P=0.2的时候,命中了2个候选词:了解13.35%+咨询7.63%=20.98%大于20%(0.2) P=0.25的时候,前面的2个候选词加起来就不够了,再加一个问6.98%=27.96%就大于25%了

这个策略的好处是能自适应,比如在面临特别多候选词的时候,可以通过概率限定去干掉太多不相关的,在候选词不足的情况下也能补充到满足要求

Min-P

我们来看个情况

可以看到这个情况下,如果是top-p,P=0.1的情况下,只会得到一个11.18%,哪怕了解9.47% 也同样适合甚至更适合的情况下,这种时候Min-P可以通过设置最小的概率P=0.09来降这两个都高概率的结果捞出来,总体而言带来的好处是:

  • 保留“亚军词”,也就是前面说的这个情况
  • 解决长尾问题,比如累积P不足,大量捞到一些小概率的候选词,实际上不一定有什么帮助
  • 适应性更好,如果出现绝对领先,那不会有更多干扰进来,如果出现不确定性较强的候选词,可以让跟多接近的候选词进来

总结

通常来说我们也不只是单独使用一个策略,而是将多个策略一起使用。除了前面介绍的这些采样策略以外,还有一些其他的,比如Exclude Top-K,也就是去掉Top K的结果,比如去掉Top1,这样有助于模型输出根据创造力的结果,减少模板化输出

文中用到例子我开源放在了这里,可以本地直接通过python运行起来,默认会去HuggingFace上拉Qwen/Qwen3-0.6B模型,可以很方便的测试和查看




    Enjoy Reading This Article?

    Here are some more articles you might like to read next:

  • LeoTalk · Hacker News Daily · 2025.12.08
  • LeoTalk · Hacker News Daily · 2025.12.06
  • LeoTalk AI周知 11: VLA到世界模型
  • 大模型上下文工程实践指南-第7章:智能体
  • LeoTalk AI周知 10: 基模&专模